地高辛口服溶液
用于婴儿及儿童的充血性心力衰竭及某些室上性心律失常。
地高辛口服溶液说明书
请仔细阅读说明书并在医师指导下使用
【药品名称】
通用名称:地高辛口服溶液
英文名称:Digoxin Oral Solution
汉语拼音:Digaoxin Koufurongye
【成份】
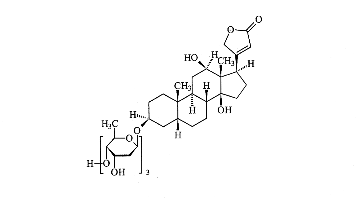
化学名称:本品主要成份为地高辛,3β-[[O-2,6-二脱氧-β-D-核-己吡喃糖基-(1→4)-O-2,6-二脱氧-β-D-核-己吡喃糖基-(1→4)-2,6-二脱氧-β-D-核-己吡喃糖基]氧代]-12β,14β-二羟基-5β-心甾-20(22)烯内酯。
化学结构式:

分子式:C41H64O14
分子量:780.95
【性状】
本品为微黄色的澄清液体,略有醇味。
【适应症】
用于婴儿及儿童的充血性心力衰竭及某些室上性心律失常。
【规格】
30ml:1.5mg;100ml:5mg
【用法用量】
对肾功能正常的患儿按体重给出洋地黄化量的地高辛口服溶液的用量:口服。饱和量总量,<2岁,0.06~0.08mg/kg(相当于口服溶液1.2~1.6ml/kg), >2岁,0.04~0.06mg/kg(相当于口服溶液0.8~1.2ml/kg);分3~6次完成饱和。以后用上述量的1/4为每日维持量。
早产儿和新生儿宜用1/3或1/2量。如出现心律失常等中毒现象,应停药或加服氯化钾。
【不良反应】
1.常见的不良反应包括:新出现的心律失常、胃纳不佳或恶心、呕吐、下腹痛、无力、软弱。
2.少见的反应包括:视力模糊或“色视”(中毒症状如黄视等)、腹泻、精神抑郁或错乱。
3.罕见的反应包括:嗜睡、头痛及皮疹、荨麻疹(过敏反应)。
4.在洋地黄的中毒表现中,心律失常最重要,最常见者为室性早搏,约占心脏反应的33%。其次为房室传导阻滞,阵发性或加速性交界性心动过速,阵发性房性心动过速伴房室传导阻滞,室性心动过速、窦性停搏、心室颤动等。儿童中心律失常比其他反应多见,但室性心律失常比成人少见。新生儿可有P-R间期延长。
【禁忌】
1.与钙注射剂合用;
2.任何强心苷制剂中毒;
3.室性心动过速、心室颤动;
4.梗阻性肥厚型心肌病(若伴收缩功能不全或心房颤动仍可应用);
5.预激综合征伴心房颤动或扑动。
慎用于:
1.低钾血症;
2.不完全性房室传导阻滞;
3.高钙血症;
4.甲状腺功能低下;
5.缺血性心脏病;
6.心肌梗死;
7.心肌炎;
8.肾功能损害;
9.酒精过敏。
【注意事项】
对窦性心律的轻、中度充血性心力衰竭的患者,地高辛能增加射血分数,改善左室功能,预防病情恶化,但急性心肌梗死后的左心功能不全(尤其首日发病)应慎用。用药期间应注意监测:
① 血压、心律及心率;
② 心电图;
③ 心功能监测;
④ 电解质尤其钾、钙、镁;
⑤ 肾功能;
⑥疑有洋地黄中毒时,应作地高辛血药浓度测定。过量时,由于蓄积性小,-般于停药后1~2天中毒表现可以消退。如地高辛血药浓度在2.0~2.5ng/ml以上,应警惕洋地黄过量毒性反应。患者2-3周前未应用洋地黄类制剂者,必要时可考虑给予负荷量;肾功能不全者,不宜应用地高辛,应选用洋地黄毒苷;应用洋地黄患者常对电复律极为敏感,应高度警惕;透析不能从体内迅速去除本品;在本品引起严重或完全性房室传导阻滞时,不宜补钾;老年及虚弱者在常用剂量及血药浓度时就可有中毒反应;婴幼儿要在血药浓度及心电监测下增加剂量;半衰期较短的本品(半衰期平均为36小时),每日口服0.25㎎,经5个半衰期(约6~8日)可达到洋地黄化血药浓度的96%。如仍不能达到治疗效果,可适当增加剂量。如病情较急,为较快达到有效浓度,仍需先给负荷量,但剂量需个体化;当患者由强心苷注射液改为本品时,为补偿药物间药代动力学差别,需要调整剂量。
【孕妇及哺乳期妇女用药】未进行该项实验且无可靠参考文献。
【儿童用药】未进行该项实验且无可靠参考文献。
【老年用药】未进行该项实验且无可靠参考文献。
【药物相互作用】
(1)与两性霉素B、皮质激素或失钾利尿剂如布美他尼(bumetanide)、依他尼酸(ethacrynic acid)等合用时,可因低血钾而致洋地黄中毒。
(2)与制酸药(尤其三硅酸镁)或止泻吸附药如白陶土、果胶、考来烯胺(colestyramine)和其他阴离子交换树脂、柳氮磺吡啶(sulfasalazine)或新霉素、对氨基水杨酸合用时,可抑制洋地黄强心苷吸收。
(3)与抗心律失常药、钙盐注射剂、可卡因或拟肾上腺素类药合用时,可导致心律失常。
(4)有严重或完全性房室传导阻滞而血钾正常的洋地黄化患者不应同时应用钾盐,但噻嗪类
利尿剂与本品合用时,应防止低钾血症。
(5)β受体阻滞剂与本品合用,有导致房室传导阻滞发生严重心动过缓的可能。但并不排除β阻滞剂用于洋地黄不能控制心室率的室上性快速心律失常。
(6)与奎尼丁同用,可使本品血药浓度提高约一倍,两药合用时应酌减地高辛用量1/2~1/3。
(7)与维拉帕米、地尔硫䓬、胺碘酮合用,可引起严重心动过缓。
(8)螺内酯可延长本品半衰期。
(9)血管紧张素转换酶抑制剂及其受体拮抗剂可使本品血药浓度增高。
(10)吲哚美辛(indomethacin)可使本品半衰期延长,需监测血药浓度及心电图。
(11)与肝素同用,能部分抵消肝素的抗凝作用,应注意调整肝素用量。
(12)洋地黄化时静脉用硫酸镁应极其谨慎,可发生心脏传导阻滞。
(13)红霉素可增加本品在胃肠道的吸收。
【药物过量】
未进行该项实验且无可靠参考文献。
【药理毒理】
治疗剂量时具有:
1.正性肌力作用:本品选择性地与心肌细胞膜Na+-K+-ATP酶结合而抑制该酶活性,使心肌细胞膜内外Na+-K+主动偶联转运受损,心肌细胞内Na+浓度升高,从而使肌膜上Na+-Ca2+交换趋于活跃,使细胞浆内Ca2+增多;肌浆网内Ca2+储量亦增多,心肌兴奋时,有较多的Ca2+释放;心肌细胞内Ca2+浓度增高,心肌收缩蛋白激动增强从而增加心肌收缩力。
2.负性频率作用:由于其正性肌力作用,使衰竭心脏心输出量增加,血流动力学改善,消除交感神经张力的反射性增高,并增强迷走神经张力,因而减慢心率、延缓房室传导。此外,小剂量时提高窦房结对迷走神经冲动的敏感性,可增强其减慢心率作用。由于其负性频率作用,使舒张期相对延长,有利于增加心肌血供;大剂量则可直接抑制窦房结、房室结和希氏束而呈现窦性心动过缓和不同程度的房室传导阻滞。
3.通过对心肌电活动的直接作用和对迷走神经的间接作用,降低窦房结自律性;提高浦肯野纤维自律性;减慢房室结传导速度,延长其有效不应期,导致房室结隐匿性传导增加,可减慢心房纤颤或心房扑动的心室率;由于本药缩短心房有效不应期,当用于房性心动过速和房扑时,可能导致心房率的加速和心房扑动转为心房纤颤;缩短浦肯野纤维有效不应期。
【药代动力学】
地高辛为由毛花洋地黄提纯制得的中效强心苷,其特点是排泄较快而蓄积性较小,临床使用比洋地黄片和洋地黄毒苷安全。口服主要经小肠上部吸收,吸收不完全,也不规则,口服吸收率约75%,生物利用度片剂为60%~80%,醑剂为70%~85%,口服起效时间0.5~2小时,血浆浓度达峰时间2~3小时,获最大效应时间为2~6小时。作用维持4~7天;静脉注射起效时间5~30分钟,达峰时间1~4小时,持续时间6小时。注射给药易致不良反应,故仅适用于严重心衰需要立即治疗的病人。分布:吸收后广泛分布到各组织,部分经胆道进入肠道而形成肝–肠循环。血浆蛋白结合率低,为20%~25%,表观分布容积为6~10L/㎏。 代谢与排泄:地高辛在体内转化代谢很少,主要以原形由肾排除,尿中排出量为用量的50%~70%;地高辛消除半衰期平均为35小时。
【贮藏】密封保存。
【包装】玻璃瓶,30ml/瓶,1瓶/盒;100ml/瓶,1瓶/盒
【有效期】24个月
【执行标准】《中华人民共和国药典》2015年版(二部)
【批准文号】国药准字H10970389
【生产企业】
企业名称:北京华润高科天然药物有限公司
生产地址:北京市延庆区延庆镇妫水南街11号
邮政编码:102100
电话号码:400—1698808
传真号码:010—81192559